2025年5月20日,北京大学药学院药事管理与临床药学系管晓东研究员团队与香港大学李嘉诚医学院内科学系、药理及药剂学系李雪助理教授团队合作,在肿瘤学权威期刊Lancet Oncology发表了题为“Analysis of drug consumption and expenditure of WHO essential medicines for cancer in 40 countries and regions between 2012 and 2022: a multinational drug use study”的研究论文。

恶性肿瘤是全球最主要的严重威胁人类健康的公共卫生挑战之一,推动抗肿瘤药物公平可及对于提高肿瘤患者生存率、缩小不同收入水平国家肿瘤患者临床结局差距至关重要。团队前期利用中国医院药品采购数据和美国医保药品使用数据,回顾性分析了抗肿瘤药物在中美两国用量与支出趋势,揭示了肿瘤靶向药物可负担性仍较差、缺乏临床获益的药物累计支出占比较高等问题(Cancer Commun (Lond). 2021; JAMA Intern Med. 2021)。世界卫生组织(WHO)基本药物示范目录以安全性、有效性、经济性等为遴选标准收录基本药物,为各国制定基本药物目录、保障基本药物优先使用提供重要参考。国际上已有研究比较了部分国家基本药物目录收录药物的异同,但尚无研究评估WHO基本药物在不同收入水平国家使用趋势,影响因素也不清楚。
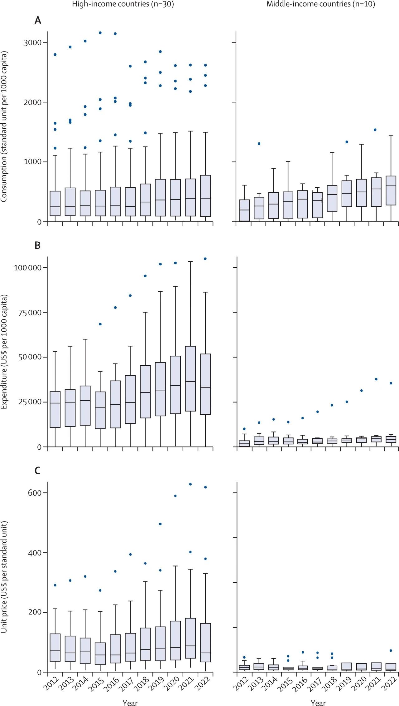
联合研究团队基于2023年版WHO基本药物示范目录与全球药品销售数据库(IQVIA-MIDAS),分析了2012-2022年65种WHO肿瘤基本药物在全球40个国家地区(包括30个高收入经济体、7个中高收入经济体和3个中低收入经济体)消耗量与支出年度趋势,并评估肿瘤疾病负担、国民收入及不平等水平、全民健康覆盖指数等因素与基本药物使用相关性。研究发现,研究期间中等收入经济体肿瘤基本药物每千人消耗量和每千人支出分别以16.8%和9.0%的年均增长率迅速增长,而高收入经济体的肿瘤基本药物使用则呈现相对稳定的趋势,肿瘤基本药物价格呈下降趋势(见图1)。2022年中等收入经济体肿瘤基本药物每千人支出仍显著低于高收入经济体(4,034.42美元 v.s. 33,198.82美元,p < 0.01),但其每千人消耗量已与高收入经济体无显著差异(见图1-A)。全民健康覆盖指数与肿瘤基本药物消耗量呈显著正相关(estimate: 11.35, 95%CI: 6.59-16.10, P<0.001),未观察到肿瘤伤残调整生命年、人均国民总收入和基尼系数对肿瘤基本药物消耗量具有统计学显著影响(见表1)。

图1. 2012-2022年不同收入水平国家或地区WHO肿瘤基本药物使用年度趋势
表1. 人均国民总收入、肿瘤伤残调整生命年、基尼系数、全民健康覆盖指数与WHO肿瘤基本药物消耗量相关性的面板回归结果

为促进靶向等高价值药品公平可及,WHO于2019年起明确以“具有至少4-6个月总生存期获益”作为遴选肿瘤基本药物标准。研究团队基于WHO基本药物目录技术报告,系统分析了WHO基本药物示范目录收录的肿瘤靶向药物和儿童肿瘤药物的总生存期获益证据情况(BMJ Glob Health. 2023; EClinicalMedicine. 2023)。基于前期研究基础,联合研究团队以是否在WHO技术报告中具有至少4个月的总生存期获益证据为分类标准,分析2019-2022年靶向药物在各国的消耗量与支出。研究发现,与高收入经济体相比,中等收入经济体中具有至少4个月总生存期获益证据的靶向药物消耗量占所有靶向药物消耗量的比例更高(57.1% v.s. 37.8%)(见图2)。

图2. 2019-2022年WHO基本药物收录的肿瘤靶向药物的总生存期获益与消耗量和支出
研究首次全面报道了WHO肿瘤基本药物使用的国际趋势,并探索可能的影响因素,结果揭示了推动全民健康覆盖对促进肿瘤药物公平可及的潜在积极影响,同时发现WHO技术报告临床获益证据对于卫生资源有限、卫生技术评估机制尚不成熟的国家与地区的抗肿瘤药物使用可能发挥更显著的指导作用。这一研究为WHO进一步完善基本药物目录、促进全球肿瘤基本药物公平可及提供实证支持,对各国优化肿瘤基本药物使用模式具有重要政策启示。
北京大学药学院管晓东研究员和香港大学李嘉诚医学院李雪助理教授为本篇论文的共同通讯作者,香港大学李嘉诚医学院博士研究生焦塬石和北京大学药学院博士研究生柏林为共同第一作者。本研究获得香港大学教育资助委员会影响研究基金等项目的支持。
论文链接
https://www.thelancet.com/journals/lanonc/article/PIIS1470-2045(25)00159-7/abstract
通讯作者简介

管晓东,北京大学药学院特聘研究员,博士生导师。现任北京大学药学院院长助理、药事管理与临床药学系主任,哈佛医学院访问学者(2018-2019),世界卫生组织药品价格政策技术咨询核心专家组成员。主要研究方向为药品公平可及与合理使用。兼任北京大学医药管理国际研究中心副主任、中国药学会药事管理专委会副主任委员、国家药品监督管理局药品评价中心药物警戒研究与评价重点实验室学术委员会委员等。曾获得“北医青年学者”、“北京市科学技术进步奖二等奖”、“北京大学教学成果二等奖”等荣誉。先后承担国家自然科学基金和政府部门多个研究项目,在Nature Reviews Clinical Oncology, Lancet Oncology, Lancet Infectious Diseases, JAMA Internal Medicine, JAMA Health Forum, PLOS Medicine, Clinical Microbiology and Infection, WHO Bulletin等期刊发表学术论文近200篇,为中国国家药物政策与合理用药提供科学证据和智力支持。

李雪,香港大学李嘉诚医学院内科学系、药理及药剂学系助理教授。清华大学协和医学院医学硕士,香港中文大学公共卫生博士。致力于利用决策分析模型和卫生健康数据进行卫生技术评估、卫生经济学和真实世界结果研究。研究工作曾获 RGC/Research Impact Fund、RGC/Early Career Scheme、RGC Collaborative Research Fund、香港特别行政区政府卫生局Health and Medical Research Fund及国家自然科学基金资助,在药物流行病学、药物经济学、卫生服务和卫生政策研究领域发表 200多篇研究文章,其中包括Lancet、JAMA、BMJ等顶级专业期刊的子刊。
第一作者简介

焦塬石,香港大学李嘉诚医学院内科学系博士研究生,毕业于北京大学2015级医学实验技术专业,主要研究方向为真实世界数据、卫生技术评估。在Lancet regional health-Western Pacific, Journal of Medical Internet Research等期刊发表论文。

柏林,北京大学药学院药事管理与临床药学系博士研究生,主要研究方向为儿童用药公平可及,在Bulletin of the World Health Organization, EClinicalMedicine, The Lancet Regional Health-Western Pacific等期刊发表学术论文。曾获国家奖学金、北京大学三好学生、北京大学学术创新奖、北京大学优秀毕业生等荣誉。
药事管理与临床药学系
来源:北京大学药学院