2026年2月27日,广州医科大学附属第一医院(国家呼吸医学中心)何建行教授团队牵头,联合全国多家单位的中国学者,在国际顶级期刊CA: A Cancer Journal for Clinicians(影响因子232.4)发表题为“Global Cancer Statistics for Children: Two Decades of Change and Projections to 2050”的研究成果1。该研究系统整合全球多源数据库,全面评估2000—2022年全球儿童癌症发病、死亡及疾病负担的演变趋势,揭示不同发展水平国家之间显著的健康不平等格局,并分析新冠疫情对儿童癌症诊断与报告的潜在影响,同时预测至2050年的全球趋势,为全球儿童癌症防控与资源优化配置提供重要循证依据。
该研究由广州医科大学附属第一医院李望忠研究员担任第一作者,广东省人民医院黄陕州、福建医科大学附属协和医院陈起跃等教授为共同第一作者。何建行教授为最后通讯作者,广西医科大学第一附属医院康敏教授为共同通讯作者。钟南山院士、周承志教授及梁文华教授作为资深作者参与指导。该成果凝聚了全国多家医疗与科研机构的协同力量,体现了我国在全球儿童癌症流行病学研究领域的多中心协作。
同期刊发的社论由美国威斯康星医学院儿童肿瘤学专家Matthew R. Kudek教授与约翰霍普金斯大学肿瘤生物统计学教授Hao Wang教授联合撰写2。两位学者指出,该研究在全球尺度上揭示了儿童癌症死亡率持续下降背景下,发展差距所致结局不平等仍在扩大的结构性现实。社论强调,卫生投入水平、社会性别不平等及国家发展结构等宏观因素正深刻塑造全球儿童癌症预后分布,当代儿童癌症防控议题已由单纯的技术进步问题转向健康公平与制度能力建设的系统性挑战。

尽管儿童癌症在整体疾病谱中相对罕见,但其已成为全球儿童疾病相关死亡的首要原因。随着诊疗技术的进步,在高收入国家,儿童癌症5年生存率已超过80%。然而,全球超过80%的儿童癌症负担集中于低中收入国家,这些地区在医疗基础设施、专业人才及药物可及性方面仍存在明显短板,导致生存改善幅度有限3。儿童癌症结局的不平等已成为制约全球健康进步的重要因素,也对联合国2030年可持续发展目标的实现构成挑战。为缩小生存差距,世界卫生组织于2018年启动全球儿童癌症倡议,提出到2030年全球儿童癌症总体生存率达到60%的目标4。在此背景下,系统评估全球儿童癌症负担的长期趋势、疫情影响及未来预测,具有重要公共卫生意义。
研究方法
本研究整合GBD2021与GLOBOCAN 2022全球癌症数据库,并联合国开发计划署、世界卫生组织及世界银行等多源社会经济与卫生系统数据,覆盖200余个国家和地区,系统评估2000—2022年全球儿童癌症负担的时空演变。采用年龄标准化率与Joinpoint回归分析长期趋势,以健康不平等指标刻画发展差异与健康不平等格局,并结合贝叶斯年龄-时期-队列模型(BAPC)评估疫情相关潜在漏诊及预测至2050年的流行趋势。同时构建多变量回归与前沿分析模型,揭示儿童癌症结局的结构性社会经济决定因素。
研究结果
一、全球儿童癌症格局:死亡率持续下降,但负担依然沉重
研究显示,2022年全球约202,164例新发儿童癌症病例,死亡77,182例,对应年龄标准化发病率(ASIR)为10.3/10万,年龄标准化死亡率(ASMR)为3.9/10万。从2000年至2021年,全球儿童癌症ASIR与ASMR总体呈下降趋势,平均年度变化率(AAPC)分别为−0.88% 与−2.13%,其中死亡率下降幅度更为明显,提示治疗水平和支持治疗能力持续改善。然而,绝对疾病负担依然沉重。2021年全球儿童癌症年龄标准化DALYs仍处于较高水平,且主要由过早死亡导致的YLLs构成。低社会人口发展指数(SDI)国家的年龄标准化DALYs明显高于高SDI国家,显示负担在全球范围内高度不均。尽管死亡率持续下降,但儿童癌症仍是全球多数国家儿童疾病相关死亡的重要原因之一,“死亡率下降”并不意味着问题已得到根本解决,而更多体现为治疗进步掩盖下的结构性差距。

图1. 2022年全球儿童癌症发病率与死亡率估计

图2. 2000年至2021年全球儿童癌症发病率、患病率和死亡率的时间趋势
二、发病与死亡的“发展倒挂”:结构性不平等仍在扩大
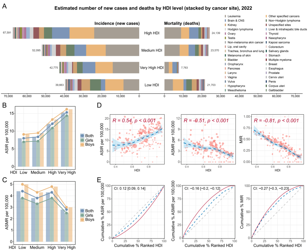
研究揭示出一个具有显著政策含义的“发展倒挂”现象:高HDI国家发病率更高,而低HDI国家死亡率更高。2022年数据显示,低HDI国家ASIR为8.0/10万,而极高HDI国家为15.3/10万;但死亡率则呈反向分布,低HDI国家ASMR为4.4/10万,显著高于极高HDI国家的2.8/10万。这一格局反映出诊断能力与治疗可及性的结构性差异:高收入国家登记体系完善、早期诊断充分,因此发病报告更完整;而低收入国家医疗基础设施薄弱、专科资源不足、放疗与病理服务匮乏,患儿死亡风险更高。不平等指标分析进一步显示,2000—2021年间,儿童癌症年龄标准化DALYs的SII始终为负值(如2021年SII约−234/10万),集中指数(CI)亦为负,提示疾病负担高度集中于低发展国家,且绝对差距未明显缩小。多变量分析显示,性别不平等指数(GII)、政府卫生支出比例、UHC指数、医师密度等宏观结构性因素与死亡率及MIR显著相关,表明儿童癌症结局深受制度能力与社会发展结构影响。正如同期社论所指出,现代儿童癌症格局由“生存改善”与“结局差异扩大”共同定义,全球挑战已从“能否治疗”转向“谁能获得治疗”。

图3. 2022年按HDI水平划分的全球儿童癌症负担

图4. 2022年全球儿童癌症发病率与社会经济及健康系统指标之间的关联
三、疫情冲击:被低估的儿童癌症病例
基于BAPC构建的趋势预测结果与实际报告值比较发现,2021年全球多个SDI层级国家的报告发病率与死亡率均低于模型预测值。例如,在中SDI国家中,报告ASIR较预测值低约15.9%,在高—中SDI国家中低约19.8%,这一现象在发病率与患病率中更为明显。类似趋势亦出现在死亡率与DALYs指标中。研究指出,这种下降更可能源于疫情期间医疗资源转移、诊断延迟、筛查中断及癌症登记系统运行受限,而非真实发病率下降。儿童癌症高度依赖及时诊断与规范治疗,疫情暴露出全球卫生体系在突发公共卫生事件中的脆弱性,尤其在资源匮乏国家更为突出。潜在漏诊与延迟治疗可能在未来数年内对生存率产生滞后影响,构成新的公共卫生风险。

图5. 新冠疫情大流行期间对儿童癌症的不平等关注
四、2050年预测:负担或将进一步向低发展国家集中
基于GLOBOCAN2022数据与联合国人口预测模型推算,在当前趋势下,到2050年全球儿童癌症新发病例将达约204,925例,死亡约78,210例。值得关注的是,增长趋势主要集中于低HDI国家,而极高HDI国家负担趋于稳定甚至轻度下降。研究估算,低HDI国家未来新发与死亡人数可能增加约45%,负担结构将进一步向资源有限地区集中。尽管预测模型未纳入潜在重大治疗突破或政策干预情景,但趋势已明确提示:若诊疗可及性与卫生体系能力未得到系统性改善,全球儿童癌症不平等格局可能进一步固化,甚至扩大。

图6. 2050年全球儿童癌症负担预测

图7. 2022年至2050年全球儿童癌症负担的预计变化
五、未来挑战:从统计描述走向结构性干预
研究与社论一致强调,全球儿童癌症防控的核心已不再局限于治疗技术本身,而在于制度能力与健康公平的系统性建设。关键方向包括:强化人口基础癌症登记体系建设,提高政府卫生支出比例与公共卫生财政保障能力,提升基层早诊早治能力,完善病理与放疗基础设施配置,缩小城乡与区域间医疗资源差距,并推进WHO全球儿童癌症倡议(目标到2030年全球儿童癌症总体生存率达到60%以上)的落实。儿童癌症问题已成为衡量一个国家卫生体系公平性与制度成熟度的重要指标。真正的全球进步,不仅体现在死亡率下降,更体现在不同发展水平国家之间生存差距的持续缩小。

【图片来自WHO官网】
过去二十年,儿童癌症生存率持续提升,这是全球医学进步与规范化治疗体系建设的重要成果。然而,在总体改善的趋势之下,发展差距所致的结局不平等并未同步缩小,甚至在部分地区呈现结构性扩大。正如同期社论所指出,现代儿童癌症格局正由“生存改善”与“差距扩大”共同塑造。未来的挑战,不仅在于研发更精准、更高效的治疗方案,更在于构建一个更加公平、更加有韧性的卫生体系,使每一个患儿——无论出生于何种国家、处于何种社会环境——都能获得及时诊断与规范治疗。真正的全球进步,不仅体现在死亡率的下降,更体现在国家之间生存鸿沟的持续收窄,以及健康机会的公平分配。
参考内容
[1] Li W, Huang S, Chen Q, Wang T, Lu G, Niu X, Song Q, Xu Y, Mo K, Cui C, Zhang R, Du W, He F, Shi L, Lin Y, Wei Q, Jiang L, Chen Y, Song B, Zhang H, Fu Z, Liao W, Sun J, Guan W, Zhuang W, Zhong N, Zhou C, Liang W, Kang M, He J. American Cancer Society, 2026. Global cancer statistics for children: Two decades of change and projections to 2050[J]. CA: A Cancer Journal for Clinicians, 2026, 76(2): e70069.
[2] Kudek M R, Wang H. American Cancer Society, 2026. Improved survival, disparate outcomes contemporaneously define the modern worldwide burden of childhood cancers[J]. CA: A Cancer Journal for Clinicians, 2026, 76(2): e70073.
[3] Bhakta N, Force L M, Allemani C, Atun R, Bray F, Coleman M P, Steliarova-Foucher E, Frazier A L, Robison L L, Rodriguez-Galindo C, Fitzmaurice C. Childhood cancer burden: a review of global estimates[J]. The Lancet Oncology, 2019, 20(1): e42~e53.
[4] Global initiative for childhood cancer[EB/OL]. [2024-09-04]. https://www.who.int/publications/m/item/global-initiative-for-childhood-cancer.
来源:南山呼吸